300만 원 소액대출을 고려하고 계신다면, 다양한 금융 상품을 비교하고 본인의 신용도와 상환 능력에 맞는 대출을 선택하는 것이 중요합니다. 이 글에서는 소액대출을 받을 수 있는 금융기관별 조건, 금리, 이자 계산법, 중도상환수수료, 신용도 관리 방법까지 자세히 정리해 드리겠습니다.

1. 소액대출 300만 원 받을 수 있는 금융기관 및 상품 비교
① 카카오뱅크 비상금대출
- 대출 한도: 50만 원 ~ 300만 원
- 대출 금리: 연 4.49% ~ 15.00% (개인 신용에 따라 차등 적용)
- 상환 방식: 만기일시상환 (1년 단위로 연장 가능)
- 자격 조건: 만 19세 이상 내국인, 신용평가 적정 수준, 연체 및 금융사기 이력 없음
- 특징: 중도상환수수료 없음, 모바일 간편 신청 가능
- 신청 방법: 카카오뱅크 앱을 통해 비대면으로 신청 가능
📌 카카오뱅크 앱 다운로드 및 로그인
📌 ‘비상금대출’ 선택 후 신청하기
📌 본인 인증 (휴대폰, 공동인증서 필요)
📌 신용평가 진행 후 대출 가능 여부 확인
📌 대출 조건 확인 및 약관 동의 후 실행
📌 승인 후 바로 계좌에서 사용 가능
📍 신청 링크: 카카오뱅크 공식 홈페이지
② 하나원큐 비상금대출
- 대출 한도: 50만 원 ~ 300만 원
- 대출 금리: 연 5% ~ 13% (개인별 차등 적용)
- 상환 방식: 만기일시상환 (1년 단위로 연장 가능)
- 자격 조건: 만 19세 이상, 서울보증보험(주)보험증권 발급 가능자
- 특징: 비대면 신청 가능, 서울보증보험 가입 필수
- 신청 방법: 하나은행 앱에서 간편 신청 가능
📌 하나은행 ‘하나원큐’ 앱 다운로드 및 실행
📌 로그인 후 ‘비상금대출’ 상품 선택
📌 본인 인증 및 신용평가 진행
📌 서울보증보험 가입 가능 여부 확인
📌 대출 한도 및 금리 확인 후 신청 완료
📌 승인 후 계좌로 즉시 입금 가능
📍 신청 링크: 하나원큐 비상금대출
③ 토스뱅크 비상금대출
- 대출 한도: 최대 300만 원
- 대출 금리: 연 4.9% ~ 15.0% (신용 점수에 따라 다름)
- 상환 방식: 만기일시상환
- 자격 조건: 신용 평가 적정 수준 유지
- 특징: 서류 제출 없이 신용 점수만으로 대출 심사 가능, 상환일 지정 가능
- 신청 방법: 토스 앱을 통해 신청
📌 토스 앱 다운로드 및 로그인
📌 ‘토스뱅크 비상금대출’ 선택 후 신청하기
📌 본인 인증 및 신용조회 진행 (서류 제출 불필요)
📌 대출 가능 여부 및 한도 확인
📌 약관 동의 후 대출 실행
📌 승인 후 계좌에서 즉시 사용 가능
📍 신청 링크: 토스뱅크 비상금대출
④ 신용회복위원회 비대면 소액대출 (긴급 생활안정자금)
- 대출 한도: 최대 300만 원
- 대출 금리: 연 4.0% 이내
- 상환 방식: 최대 3년 이내 원리금균등분할상환
- 자격 조건:
- 신용회복위원회 채무조정을 받아 6개월 이상 성실 상환 중이거나
- 최근 3년 내 채무 상환을 완료한 자
- 특징: 정부 지원 대출로 비교적 낮은 금리 적용, 신용 점수에 미치는 영향 적음
- 신청 방법: 신용회복위원회 홈페이지에서 온라인 신청 가능
📌 신용회복위원회 홈페이지 접속 및 로그인
📌 ‘비대면 소액대출’ 메뉴 선택
📌 본인 인증 및 신용조회 진행
📌 채무조정 이력 및 상환 이력 확인
📌 대출 가능 여부 확인 후 신청서 작성
📌 약관 동의 및 대출 실행
📌 승인 후 본인 계좌로 입금
📍 신청 링크: 신용회복위원회 공식 홈페이지


2. 소액대출 이자 계산법 (300만 원 기준)
① 원리금균등상환 방식 (매달 일정 금액 납부)
- 대출금액: 300만 원
- 금리: 연 6%
- 대출 기간: 1년
- 월 납입금: 약 25,860원
- 총이자: 약 10,320원
② 원금균등상환 방식 (매달 일정 원금을 갚으며, 이자는 점점 감소)
- 첫 달 납부금: 약 27,000원
- 이후 매달 납부액 감소
- 총이자: 약 9,000원
③ 만기일시상환 방식 (대출 기간 동안 이자만 내다가 만기에 원금을 일시 상환)
- 매달 이자 납부액: 약 15,000원
- 총이자: 약 18,000원
📌 Tip:
- 원금균등상환 방식이 총이자가 가장 적습니다.
- 만기일시상환은 매달 부담이 적지만, 총 이자가 많습니다.
- 본인의 상환 능력에 맞춰 방식을 선택하세요.

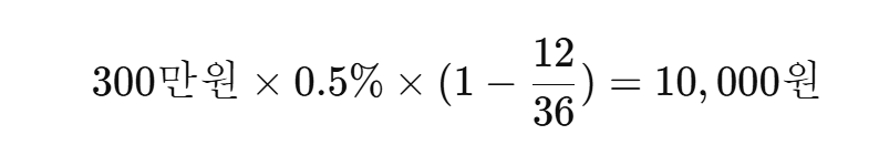
3. 소액대출 중도상환수수료 계산법
대출을 조기 상환하면 금융기관에 따라 중도상환수수료가 부과될 수 있습니다.
중도상환수수료 공식

예를 들어,
- 300만 원 대출 후 1년 만에 상환할 경우
- 중도상환수수료율 0.5%라면

즉, 약 1만 원의 수수료가 발생합니다.
📌 Tip:
- 카카오뱅크, 토스뱅크 등 일부 비상금대출 상품은 중도상환수수료가 없습니다.
- 대출 신청 전에 반드시 수수료 조건을 확인하세요.

4. 소액대출을 받기 위한 신용도 기준
대출 승인 여부는 신용 점수에 따라 달라집니다.
① 신용등급 기준
- 1 금융권 (은행 대출): 최소 신용등급 6등급 이상 필요
- 2 금융권 (저축은행, 캐피탈): 7~8등급도 가능하지만 금리가 높음
- P2P 대출: 신용등급이 낮아도 가능하지만, 금리가 높음
② 신용점수 기준 (NICE/KCB 기준)
- NICE 신용점수: 665점 이상 (6등급)
- KCB 신용점수: 630점 이상 (6등급)
- 점수가 높을수록 금리 혜택을 받을 수 있음
③ 신용도 관리 방법
✅ 연체 없이 성실히 납부
✅ 카드 사용 금액 줄이기 (한도 대비 30% 이하 사용)
✅ 신용카드보다는 체크카드 사용
✅ 금융기관의 소액대출 및 대출 이력 관리


5. 소액대출이 신용등급에 미치는 영향
소액대출은 신용등급에 긍정적 또는 부정적 영향을 미칠 수 있으며, 이는 대출 관리 방식과 상환 이력에 따라 달라집니다.
① 부정적 영향
- 신용점수 하락 가능성:
- 대출 실행 시 부채 비율이 증가하면서 신용점수가 하락할 수 있음
- 2 금융권이나 고금리 대출을 이용할 경우 신용등급 하락 폭이 클 수 있음
- 단기간 내 여러 건의 대출을 신청하면 신용조회 기록이 누적되어 신용 점수에 부정적인 영향을 줄 가능성이 있음
- 연체 시 큰 타격:
- 소액이라도 연체하면 신용점수가 크게 하락하며, 연체 이력이 장기적으로 신용평가에 반영됨
② 긍정적 영향
- 성실 상환 시 신용 개선:
- 대출을 제때 상환하면 금융기관에서 신용도가 높아졌다고 평가될 수 있음
- 1 금융권 대출을 성실히 상환하면 장기적으로 신용등급 상승에 기여 가능
- 신용거래 이력 구축:
- 기존 신용거래 이력이 없는 경우, 소액대출을 통해 신용거래를 시작하고 이를 성실히 관리하면 긍정적인 평가를 받을 수 있음
③ 신용등급 관리 방법
✅ 연체 방지: 대출 상환일을 철저히 지키고, 자동이체 설정 등으로 연체를 예방하세요.
✅ 대출 건수 최소화: 여러 건의 소액대출을 받기보다는 통합 관리하거나 필요한 금액만 대출하세요.
✅ 금리와 조건 비교: 1금융권 등 낮은 금리 상품을 우선적으로 이용해 신용점수 하락 폭을 줄이세요.
✅ 상환 계획 수립: 자신의 상환 능력에 맞는 금액만 빌리고, 명확한 상환 계획을 세우는 것이 중요합니다.





마무리: 소액대출 시 고려할 사항
💡 대출 신청 전 반드시 체크해야 할 사항
✔️ 본인의 신용점수 확인 후 금리 비교
✔️ 중도상환수수료 여부 확인
✔️ 본인의 상환 능력에 맞는 방식 선택
✔️ 금융기관 고객센터 문의 후 결정


300만 원 소액대출을 계획 중이라면, 다양한 금융기관의 대출 상품을 비교하고, 신중하게 선택하는 것이 가장 중요합니다. 적절한 대출 상품을 선택하여 부담 없이 상환할 수 있도록 계획하세요! 🚀
청년도약계좌 가입조건 신청방법
청년층의 자산 형성을 돕기 위한 금융 상품인 청년도약계좌가 많은 관심을 받고 있습니다. 가입 조건과 혜택, 신청 방법 등을 한눈에 알아볼 수 있도록 정리해 보았습니다.1. 청년도약계좌 가입
infostreamnow.co.kr
기후동행카드 신청 및 충전 방법 완벽 정리
서울시가 대중교통 이용 활성화와 탄소 배출 절감을 위해 기후동행카드를 도입했습니다. 이 카드를 사용하면 서울 지하철, 버스, 따릉이를 무제한으로 이용할 수 있어 교통비 절약과 환경 보호
infostreamnow.co.kr
2025 중장년 경력지원제 : 자격증,취업
2025년 새해부터 새롭게 도입되는 고용노동 관련 정책과 제도가 있습니다. 그중에서도 오늘은 중장년층의 퇴직 후의 새로운 도전을 지원하는 중장년 경력 지원제에 대해 소개해 드리도록 하겠습
infostreamnow.co.kr
'블로그' 카테고리의 다른 글
| 기아 타스만 출시 일정 가격 (2) | 2025.02.23 |
|---|---|
| 문형배 헌법재판관 프로필 (2) | 2025.02.23 |
| 미스터 트롯3 결승진출자명단 김용빈 (0) | 2025.02.22 |
| 파이코인 상장,가격 상승 전망 (2) | 2025.02.22 |
| 강제인치, 강제구인 뜻 (0) | 2025.02.21 |